1.ÒýÑÔ
2015Äê12ÔÂ14ÈÕ£¬»·±£²¿Ðû²¼ÁË¡¶HJ 780-2015 ÍÁÈÀºÍ³Á»ýÎïÎÞ»úÔªËØµÄ²â¶¨¡ª¡ª²¨³¤É«É¢XÉäÏßÓ«¹â¹âÆ×·¨¡·£¨ÒÔϼò³Æ¡°HJ 780-2015¡±£©£¬ÕýʽȷÁ¢ÁËÍÁÈÀÖÐÎÞ»úÔªËØµÄ¼ì²âÒªÁì¡£2016ÄêÖУ¬¹úÎñÔºÕýʽÏòÉç»á¹ûÕæ¡¶ÍÁÈÀÎÛȾ·ÀÖÎÐж¯¼Æ»®¡·£¨¡°ÍÁÊ®Ìõ¡±£©È«ÎÄ£¬È«ÃæÔöÇ¿ÍÁÈÀÎÛȾµÄÖÎÀí¡£ÎªÅäºÏ¹ú¼Ò¿ªÕ¹ÍÁÈÀ¼ìÑéºÍÖÎÀíÊÂÇ飬ÃÀʨ¹ó±ö»á£¨ÒÔϼò³Æ¡°ÃÀʨ¹ó±ö»áÒÇÆ÷¡±£©ÍƳöµÄWDX4000ÐͲ¨³¤É«É¢XÉäÏßÓ«¹â¹âÆ×ÒǼ°ÆäÏà¹ØÓ¦ÓÃÒªÁ죬¿ÉÓÃÓڲⶨÍÁÈÀºÍ³Á»ýÎïÖÐ25ÖÖÎÞ»úÔªËØºÍ7ÖÖÑõ»¯ÎÍêÈ«Âú×ãHJ 780-2015±ê×¼µÄʹÓÃÒªÇó¡£
2.ÒÇÆ÷¼ò½é
WDX4000˳Ðòʽ²¨³¤É«É¢XÉäÏßÓ«¹â¹âÆ×ÒÇÊÇÃÀʨ¹ó±ö»áÒÇÆ÷µ£¸ºµÄ¹ú¼ÒÖØ´ó¿ÆÑ§ÒÇÆ÷רÏîÏîÄ¿µÄÑо¿½á¹û£¬¾ßÓÐÍêÈ«µÄ×ÔÖ÷֪ʶ²úȨ¡£WDX4000½ÓÄÉÁË´ó×ÚÁ¢ÒìÐÔºÍͨÓû¯µÄÉè¼Æ£¬ÅäÓÐ40λ×Ô¶¯½øÑùÆ÷£¬ÐÔÄÜÓÅÒ죬²Ù×÷¼ò±ã¡£
1£©²â½ÇÒÇ£º¾«ÃÜË«Öᣬ¿É³ö¾ß¼ÆÁ¿²¿·ÖУ׼֤Êé¡£
2£©¸ßѹ£º´ó¹¦ÂÊ¡Ý4kW£¬Çл»Ñ¸ËÙ£¬ÐÔÄÜÎȶ¨£¬¹ÊÕÏÂʼ«µÍ¡£
3£©¹â¹Ü£ºÏÂÕÕʽ£¬4kW£¬Rh°Ð£¬ÅäÌ×˫ͨµÀ¹â¹ÜË®Àäϵͳ£¬¼«´óÑÓ³¤¹â¹ÜʹÓÃÊÙÃü£»
3£©ÂË¹âÆ¬£º5×飬ÓÅ»¯ÅäÖÃCu¡¢AlÂË¹âÆ¬ºÍ·À³¾ÂË¹âÆ¬£»
4£©×¼Ö±Æ÷£º3¸ö£¬Âú×ã¿Í»§ÔÚÕÉÁ¿Î¢Á¿ÔªËØÊ±£¬¶ÔÇø·ÖÂʺÍÇ¿¶ÈµÄÆ«ÖØÑ¡Ôñ£»
5£©¾§Ì壺±êÅä5¿é¾§Ì壬Äܹ»Íê³ÉC6¡ªU92Ö®¼äÔªËØ¶¨ÐÔ¡¢¶¨Á¿µÄÆÊÎö£¬ÁíÓÐÑ¡3¸ö¿Õλ¿É¹©¶¨ÖÆ£»
6£©Ì½²âÆ÷£ºÉÁ˸̽²âÆ÷£¬´óÏßÐÔ¼ÆÊýÂÊ3000kcps£¬Á÷ÆøÌ½²âÆ÷£¬´óÏßÐÔ¼ÆÊýÂÊ1500kcps£¬¾ßÓÐоÏß×Ô¶¯ÇåÏ´¹¦Ð§£»
7£©×Ô¶¯½øÑùÆ÷£º40λȫ×Ô¶¯»úеÊÖ½øÑùÆ÷£»
8£©Ð°æ²Ù×÷Èí¼þ£¬ÓµÓÐÀíÂÛ a ϵÊýУÕý¡¢¾Ñé¦Á¡¢¦Â¡¢¦ÃϵÊýУÕý¡¢FP²ÎÊýУÕý¡¢Æ×ÏßÖØµþУÕý¡¢ÒÇÆ÷״̬¼à¿ØºÍÇ¿´óµÄSqliteרÓÃÊý¾Ý¿âµÈ¹¦Ð§£»
9£©¶ÀÍÌÕæ¿ÕÆøÂ·»º³åϵͳ£¬ÓÐЧ±£»¤±¡Ä¤ÐÍÑùÆ·£¬ÔÚ´óÆø¿ÅÁ£Îï¼ì²âÁìÓòÓ¦Óù㷺¡£
ͼ 1 WDX4000ÒÇÆ÷Íâ¹Ûͼ
3.ʵÑ鲿·Ö
3.1 ʵÑéÔÀí
´ó¹¦Âʸßѹ¹â¹Ü·¢Éä³öµÄÔ¼¶XÉäÏߣ¬¾¹ýÂË¹âÆ¬ºó£¬ÕÕÉäµ½ÑùÆ·Íâò£¬Òý·¢³öÑùÆ·Öи÷ÔªËØµÄÌØÕ÷XÉäÏß¡£ÌØÕ÷XÉäÏß¾¹ýÒ»´Î×¼Ö±Æ÷×¼Ö±ºóƽÐÐÈëÉäµ½·Ö¹â¾§ÌåÉÏ£»ÔÙÓɲâ½ÇÒÇɨÃè³öÇкϲ¼À¸ñÑÜÉäÌõ¼þµÄÌØÕ÷XÉäÏß¡£XÉäÏß¾¹ý¶þ´Î×¼Ö±Æ÷ºó£¬½øÈë̽²âÆ÷½øÐÐÐźÅÊÕÂÞ¡£Í¨¹ýÅÌËã»úÈí¼þ´¦ÀíºóʵÏÖ¶¨ÐÔÆÊÎöºÍ¶¨Á¿ÆÊÎö¡£
3.2 É豸ºÍÊÔ¼Á
É豸£ºWDX4000£º²¨³¤É«É¢ÐÍXÉäÏßÓ«¹â¹âÆ×ÒÇ£»
ÆÊÎöÌìÆ½£º¾«¶È0.1mg£»
×Ô¶¯·ÛĩѹƬ»ú£ºÑ¹Á¦30¶Ö£¬±£Ñ¹Ê±¼ä30s£»
·Ç½ðÊôɸ£º¿×¾¶0.075mm£¬200Ä¿¡£
ÊÔ¼Á£ºÅðËᣨH3BO3£©£ºÆÊÎö´¿¡£
ÍÁÈÀ±êÑù£ºÊÐÊÛÓÐÖ¤±êÑùGSS1¡ª¡ªGSS27£»
3.3 ÑùƷǰ´¦Àí
ÍÁÈÀÑùÆ·µÄÊÕÂÞºÍÉú´æÆ¾¾ÝHJ/T 166Ö´ÐУ¬³Á»ýÎïÑùÆ·µÄÊÕÂÞºÍÉú´æÆ¾¾ÝGB17378.3ºÍGB17378.5Ö´ÐС£ÑùÆ·µÄ·ç¸É»òºæ¸Éƾ¾ÝHJ/5 166¼°GB17378.5Ïà¹Ø»®¶¨½øÐвÙ×÷¡£ÑùÆ·ºæ¸Éºó£¬¶ÔÑùÆ·½øÐÐÑÐÄ¥£¬ºó¹ý200Ä¿·Ç½ðÊôɸ£¬ÓÚ105¡æºæ¸É±¸Óá£
³ÆÁ¿5.0gÑùÆ·ÓÚѹƬ»úÄ£¾ßÖУ¬ÒÔÅðËáÏâ±ß¡¢µæµ×£¬ÔÚѹƬ»úÉÏÒÔ30¶ÖѹÁ¦£¬±£Ñ¹30ÃëµÄÌõ¼þÑ¹ÖÆ³É¡Ý7mmµÄ±¡Æ¬¡£ÖƳÉÈçͼ 2¡¢Í¼ 3µÄ±¡Æ¬¡£ÑùÆ·ÍâòҪƽ»¬£¬²»¿ÉÓзÛÄ©ÍÑÂä¡£
ͼ2 ѹƬÑùÆ·ÕýÃæÍ¼
ͼ3 ѹƬÑùÆ·²àÃæÍ¼
3.4 ÊÂÇéÇúÏߵĽ¨Á¢ºÍÑùÆ·ÕÉÁ¿
ÔÚÅäÌ×Èí¼þÖÐн¨ÍÁÈÀÊÂÇéÇø£¬ÉèÖÃHJ780-2015ÖÐ25ÖÖÎÞ»úÔªËØºÍ7ÖÖÑõ»¯ÎÈí¼þ×Ô¶¯Éú³Éÿ¸öÔªËØÏàÓ¦µÄ²âÊÔ²ÎÊý£¬È»ºó¶Ôÿ¸öÔªËØµÄʵ¼Ê½Ç¶ÈºÍPHA²ÎÊý½øÐе¥¶ÀÉ趨¡£ÒÇÆ÷²ÎÊýÉ趨Íê³Éºó£¬¶ÔÓÐÖ¤±êÑùÖðÒ»²âÊÔ£¬»ñµÃÿ¸öÔªËØµÄ¾»Ç¿¶È£¬±ã¿É½¨Á¢º¬Á¿ÓëÇ¿¶ÈµÄÊÂÇéÇúÏß¡£ÍÁÈÀÉí·Ö½ÏΪÅÓ´ó£¬ÔÚÄâºÏÇúÏßÀú³ÌÖУ¬Ðí¶àÔªËØÖ®¼ä±£´æÏ໥×ÌÈÅ£¬ÐèÒª¶ÔÆä×÷»ùÌå¡¢Æ×ÏßÖØµþµÈУÕý»ò½ÓÄÉÄڱ귨µÈÊÖ¶ÎÖØÐÂÄâºÏÇúÏߣ¬»ñµÃÓÅÒìµÄÏßÐÔ¹ØÏµÇúÏß¡£È»ºó¶ÔÑùÆ·½øÐмì³öÏÞ¡¢×¼È·¶ÈºÍÎȶ¨ÐԵȷ½ÃæµÄ²âÊÔ¡£
4. ²âÊÔ½á¹û
4.1 ¼ì³öÏÞ
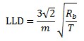
ƾ¾ÝËùÓÅ»¯µÄʵÑéÌõ¼þ£¬ÍÁÈÀÑùÆ·Öи÷ÆÊÎöÔªËØµÄ¼ì³öÏÞÈç REF
_Ref511912484 \h ±í 1£¬¼ì³öÏÞµÄÊýѧ±í´ïʽΪ£º
ʽÖУºmΪµ¥Î»º¬Á¿µÄ¼ÆÊýÂÊ£»RbΪÅä¾°¼ÆÊýÂÊ£»TΪ·åÖµºÍÅä¾°µÄ×ÜÕÉÁ¿Ê±¼ä£¨s£©¡£Óɱí¿É¼û£¬ÎÞÂÛÊÇÑõ»¯ÎïÕվɺ¬Á¿¼«µÍÎÞ»úÔªËØ£¬¾ùÂú×ãHJ780-2015±ê×¼ÖжÔÍÁÈÀ¼ì³öÏ޵Ļ®¶¨¡£¼ì³öÏÞ±ê×¼¼û±ê×¼¸½Â¼A¡£
±í 1¼ì³öÏÞ²âÊÔ½á¹û
|
ÐòºÅ
|
ÔªËØ/Ñõ»¯Îï
|
¼ì³öÏÞ
|
¼ì³öÏÞ±ê×¼
|
Åж¨
|
ÐòºÅ
|
ÔªËØ/Ñõ»¯Îï
|
¼ì³öÏÞ
|
¼ì³öÏÞ±ê×¼
|
Åж¨
|
|
1
|
Na2O
|
0.0468
|
0.05
|
¼°¸ñ
|
17
|
Ni
|
1.16
|
1.5
|
¼°¸ñ
|
|
2
|
MgO
|
0.0444
|
0.05
|
¼°¸ñ
|
18
|
Cu
|
1.08
|
1.2
|
¼°¸ñ
|
|
3
|
Al2O3
|
0.0632
|
0.07
|
¼°¸ñ
|
19
|
Zn
|
1.92
|
2
|
¼°¸ñ
|
|
4
|
SiO2
|
0.158
|
0.27
|
¼°¸ñ
|
20
|
Ga
|
1.52
|
2
|
¼°¸ñ
|
|
5
|
P
|
8.05
|
10
|
¼°¸ñ
|
21
|
As
|
1.78
|
2
|
¼°¸ñ
|
|
6
|
S
|
26.37
|
30
|
¼°¸ñ
|
22
|
Br
|
0.89
|
1
|
¼°¸ñ
|
|
7
|
Cl
|
18.52
|
20
|
¼°¸ñ
|
23
|
Rb
|
1.83
|
2
|
¼°¸ñ
|
|
8
|
K2O
|
0.0412
|
0.05
|
¼°¸ñ
|
24
|
Sr
|
1.90
|
2
|
¼°¸ñ
|
|
9
|
CaO
|
0.0816
|
0.09
|
¼°¸ñ
|
25
|
Y
|
0.81
|
1
|
¼°¸ñ
|
|
10
|
Sc
|
2.28
|
2.4
|
¼°¸ñ
|
26
|
Zr
|
1.89
|
2
|
¼°¸ñ
|
|
11
|
Ti
|
48.15
|
50
|
¼°¸ñ
|
27
|
Ba
|
8.63
|
11.7
|
¼°¸ñ
|
|
12
|
V
|
3.36
|
4
|
¼°¸ñ
|
28
|
La
|
9.82
|
10.6
|
¼°¸ñ
|
|
13
|
Cr
|
2.88
|
3
|
¼°¸ñ
|
29
|
Ce
|
23.85
|
24.1
|
¼°¸ñ
|
|
14
|
Mn
|
6.46
|
10
|
¼°¸ñ
|
30
|
Hf
|
1.52
|
1.7
|
¼°¸ñ
|
|
15
|
Fe2O3
|
0.0432
|
0.05
|
¼°¸ñ
|
31
|
Pb
|
1.73
|
2
|
¼°¸ñ
|
|
16
|
Co
|
1.09
|
1.6
|
¼°¸ñ
|
32
|
Th
|
1.74
|
2.1
|
¼°¸ñ
|
×¢£º1.ÔªËØÖÊÁ¿·ÖÊýµ¥Î»Îªmg/kg£»Ñõ»¯ÎïÖÊÁ¿·ÖÊýµ¥Î»Îª%£»
4.2 ׼ȷ¶È
ƾ¾Ý±ê×¼ÒªÇ󣬶ÔÿÅúÑùÆ·ÆÊÎöÓ¦ÖÁÉٲⶨ1¸öÍÁÈÀ»ò³Á»ýÎïµÄÓÐÖ¤±ê×¼ÎïÖÊ£¬Æä²â¶¨ÖµÓëÓÐÖ¤±ê×¼ÎïÖʵÄÏà¶ÔÎó²î±ØÐëÂú×ã¶ÔÓ¦Ìõ¼þ¡£×¼È·¶ÈÅж¨±ê×¼¼ûHJ780-2015±ê×¼Öбí1¡£Ñ¡ÔñÓÐÖ¤±ê×¼ÎïÖÊGBW07408£¨GSS-8£©×÷׼ȷ¶È²âÊÔ¡£²âÊÔ½á¹ûÈç REF _Ref511912462 \h ±í 2¡£±íÖÐËùÅÌËã´ó²¿·Ö׼ȷ¶È½á¹û¾ùÔ¶µÍÓÚHJ780-2015ÖÐÃé׼ȷ¶ÈµÄÖ¸±êÖµ¡£
±í2 ׼ȷ¶È²âÊÔ½á¹û
|
ÐòºÅ
|
ÔªËØ/Ñõ»¯Îï
|
ÕÉÁ¿Öµ
|
±ê×¼Öµ
|
׼ȷ¶È
|
Åж¨±ê×¼
|
Åж¨
|
|
1
|
Na2O
|
1.76
|
1.72
|
0.00998
|
0.07
|
¼°¸ñ
|
|
2
|
MgO
|
2.348
|
2.38
|
0.0058
|
0.07
|
¼°¸ñ
|
|
3
|
Al2O3
|
11.62
|
11.92
|
0.011
|
0.05
|
¼°¸ñ
|
|
4
|
SiO2
|
58.93
|
58.61
|
0.0023
|
0.05
|
¼°¸ñ
|
|
5
|
P
|
791.31
|
775
|
0.009
|
0.1
|
¼°¸ñ
|
|
6
|
S
|
116.986
|
120
|
0.011
|
0.1
|
¼°¸ñ
|
|
7
|
Cl
|
87.344
|
70
|
0.096
|
0.1
|
¼°¸ñ
|
|
8
|
K2O
|
2.52
|
2.42
|
0.0175
|
0.07
|
¼°¸ñ
|
|
9
|
CaO
|
8.248
|
8.27
|
0.00115
|
0.07
|
¼°¸ñ
|
|
10
|
Sc
|
11.126
|
11.7
|
0.0218
|
0.1
|
¼°¸ñ
|
|
11
|
Ti
|
3642.136
|
3835.8
|
0.0225
|
0.1
|
¼°¸ñ
|
|
12
|
La
|
31.274
|
35.5
|
0.055
|
0.1
|
¼°¸ñ
|
|
13
|
Ba
|
444.23
|
480
|
0.0336
|
0.1
|
¼°¸ñ
|
|
14
|
V
|
72.55
|
81.4
|
0.0499
|
0.1
|
¼°¸ñ
|
|
15
|
Ce
|
56.1
|
66
|
0.0706
|
0.12
|
¼°¸ñ
|
|
16
|
Mn
|
659.448
|
650
|
0.0063
|
0.1
|
¼°¸ñ
|
|
17
|
Cr
|
69.66
|
68
|
0.0105
|
0.1
|
¼°¸ñ
|
|
18
|
Fe2O3
|
4.186
|
4.48
|
0.0295
|
0.07
|
¼°¸ñ
|
|
19
|
Co
|
14.174
|
12.7
|
0.0477
|
0.1
|
¼°¸ñ
|
|
20
|
Ni
|
28.692
|
31.5
|
0.0405
|
0.1
|
¼°¸ñ
|
|
21
|
Hf
|
7.164
|
7
|
0.01005
|
0.1
|
¼°¸ñ
|
|
22
|
Cu
|
25.49
|
24.3
|
0.0207
|
0.1
|
¼°¸ñ
|
|
23
|
Zn
|
68.144
|
68
|
0.00092
|
0.1
|
¼°¸ñ
|
|
24
|
Ga
|
15.54
|
14.8
|
0.0212
|
0.1
|
¼°¸ñ
|
|
25
|
As
|
15.096
|
12.7
|
0.075
|
0.1
|
¼°¸ñ
|
|
26
|
Br
|
2.102
|
2.6
|
0.092
|
0.12
|
¼°¸ñ
|
|
27
|
Pb
|
18.376
|
21
|
0.058
|
0.1
|
¼°¸ñ
|
|
28
|
Th
|
14.842
|
11.8
|
0.0996
|
0.1
|
¼°¸ñ
|
|
29
|
Rb
|
94.03
|
96
|
0.009
|
0.1
|
¼°¸ñ
|
|
30
|
Sr
|
236.892
|
236
|
0.0016
|
0.1
|
¼°¸ñ
|
|
31
|
Y
|
28.196
|
26
|
0.035
|
0.1
|
¼°¸ñ
|
|
32
|
Zr
|
243.124
|
229
|
0.026
|
0.1
|
¼°¸ñ
|
×¢£ºÔªËØÖÊÁ¿·ÖÊýµ¥Î»Îªmg/kg£»Ñõ»¯ÎïÖÊÁ¿·ÖÊýµ¥Î»Îª%¡£
4.3 Îȶ¨ÐÔ
Ñ¡ÔñijÑùÆ·½øÐÐÎȶ¨ÐÔ²âÊÔ¡£Ã¿Ìì²âÊÔÒ»´Î£¬Á¬Ðø²âÊÔÁ½ÖÜ£¬²âÊÔËùÓÐÔªËØµÄÏà¶Ô±ê׼ƫ²î¾ùÂú×ã±ê×¼HJ780-2015ÖйØÓÚÎȶ¨ÐÔµÄÒªÇó¡£ÕªÈ¡²¿·Ö²âÊÔÊý¾ÝÁÐÓÚ±í 3¡£Åж¨±ê×¼¼ûHJ780-2015±ê×¼Öи½Â¼E.1¡£
±í3 ²¿·ÖÔªËØÎȶ¨ÐÔ²âÊÔÊý¾Ý
|
´ÎÊý\ÔªËØ
|
MgO
|
Fe2O3
|
P
|
S
|
Cl
|
As
|
Br
|
Pb
|
|
1
|
1.80
|
4.21
|
783.74
|
157.86
|
46.21
|
16.77
|
2.49
|
4.34
|
|
2
|
1.79
|
4.21
|
778.44
|
161.03
|
46.94
|
17.82
|
2.76
|
4.49
|
|
3
|
1.78
|
4.19
|
786.01
|
159.13
|
45.98
|
15.58
|
2.59
|
4.73
|
|
4
|
1.79
|
4.21
|
786.01
|
161.66
|
45.16
|
17.05
|
2.49
|
4.31
|
|
5
|
1.78
|
4.21
|
781.47
|
154.05
|
46.9
|
17.37
|
2.62
|
4.61
|
|
6
|
1.78
|
4.22
|
784.50
|
157.22
|
47.81
|
16.97
|
2.78
|
4.35
|
|
7
|
1.79
|
4.21
|
788.28
|
155.32
|
44.98
|
16.31
|
2.64
|
4.53
|
|
8
|
1.78
|
4.22
|
792.07
|
159.13
|
48.16
|
18.06
|
2.78
|
4.41
|
|
9
|
1.79
|
4.20
|
790.55
|
161.66
|
45.07
|
15.64
|
2.68
|
4.28
|
|
10
|
1.78
|
4.20
|
779.20
|
160.41
|
46.63
|
17.01
|
2.82
|
4.32
|
|
ƽ¾ùÖµ
|
1.78
|
4.21
|
785.70
|
158.74
|
46.38
|
16.66
|
2.67
|
4.44
|
|
±ê׼ƫ²î
|
0.007
|
0.009
|
4.53
|
2.63
|
1.11
|
1.02
|
0.12
|
0.15
|
|
RSD(%)
|
0.39
|
0.22
|
0.58
|
1.66
|
2.40
|
6.10
|
4.50
|
3.35
|
|
Åж¨±ê×¼
|
¡Ü0.4
|
¡Ü0.9
|
¡Ü1.2
|
¡Ü4.6
|
¡Ü2.6
|
¡Ü9.2
|
¡Ü8.3
|
¡Ü4.4
|
|
Åж¨
|
¼°¸ñ
|
¼°¸ñ
|
¼°¸ñ
|
¼°¸ñ
|
¼°¸ñ
|
¼°¸ñ
|
¼°¸ñ
|
¼°¸ñ
|
×¢£ºÔªËØÖÊÁ¿·ÖÊýµ¥Î»Îªmg/kg£»Ñõ»¯ÎïÖÊÁ¿·ÖÊýµ¥Î»Îª%¡£
5. ½áÂÛ
¼Æ»®Ê¹ÓÃWDX4000»®·Ö¶ÔÍÁÈÀ³Á»ýÎïÖÐÎÞ»úÔªËØ½øÐÐÁ˼ì³öÏÞ¡¢×¼È·¶È¡¢Îȶ¨ÐÔµÈÏîÄ¿µÄ²âÊÔ¡£²âÊÔ½á¹û±êÃ÷WDX4000ÍêÈ«Âú×ã»·±£²¿¡¶HJ
780-2015 ÍÁÈÀºÍ³Á»ýÎïÎÞ»úÔªËØµÄ²â¶¨¡ª¡ª²¨³¤É«É¢XÉäÏßÓ«¹â¹âÆ×·¨¡·±ê×¼µÄÒªÇó£¬ÍêÈ«¿ÉÓ¦ÓÃÓÚ»·±£²¿·Ö£¨ÍÁÈÀÖÊÁ¿×´¿öµÄÆÊÎöÓëÆÀ¹À£©¡¢ÍÁÈÀÖÎÀíÐÞ¸´ÆóÒµ£¨Îª½ÓÄɾßÓÐÕë¶ÔÐÔµÄÖÎÀí¼Æ»®Ìṩ¿É¿¿Êý¾Ý£©¡¢µÚÈý·½¼ì²â»ú¹¹µÈÏà¹Ø²¿·ÖÆóÒµ¡£