ÃÀʨ¹ó±ö»á

ÊÖ³Öʽ¹âÆ×ÒÇÊÖ³ÖʽºÏ½ðÆÊÎöÒǺϽðÆÊÎöÒÇ
¹ÉƱ´úÂ룺300165 ÆóÒµÓÊÏä Ͷ×ÊÕß¹ØÏµ
ÃÀʨ¹ó±ö»á(Öйú)ÓÐÏÞ¹«Ë¾-Official website

ÄÜÁ¿É«É¢XÓ«¹â¹âÆ×ÒÇ

ÄúÄ¿½ñËùÔÚÒ³£ºÊ×Ò³ > ½â¾ö¼Æ»® > ÄÜÁ¿É«É¢XÓ«¹â¹âÆ×ÒÇ

3200S PLUSÔÚÓÍÖÊÆ·ÖеÄÓ¦ÓÃÐÔÄÜ

Ðû²¼ÈÕÆÚ£º2016/6/30 11:29:49  µã»÷´ÎÊý£º70699

Ŀǰ£¬¹ú¼ÊÉç»á¶ÔʯÓÍ»¯¹¤²úÆ·ÓÈÆäÊÇÓÍÀà²úÆ·£¨ÈçÆûÓÍ¡¢²ñÓÍ¡¢Èó»¬Ó͵ȣ©ÖÐÁòº¬Á¿µÄÏÞÖÆ¹Ü¿ØÒѳÉΪ»·ÕäÖØµã ¡£º¬ÁòÁ¿¸ßµÄÓÍÁÏȼÉÕ»áÉú³É¶þÑõ»¯Ì¼£¬ÀäÈ´ºó±¬·¢Ë®£¬ÁòÓëË®½áºÏÉú³ÉÑÇÁòËá»òÁòËᣬ¶Ô·¢¶¯»úÓи¯»¯×÷Óà ¡£ÇÒÁòµÄÑõ»¯Îï´ó×Ú½øÈë¿ÕÆø»áµ¼ÖÂ¿ÕÆøÎÛȾ£¬ÀýÈçËáÓêµÄÐγÉ ¡£ÆûÓÍÖеÄÁòȼÉÕºóÐγɹý¶àÁòËáÑΣ¬ÁòËáÑθ½ÔÚ´ß»¯Æ÷¹ó½ðÊôÍ¿²ãµÄÍâòÉÏ£¬Ôì³ÉÆû³µÎ²ÆøÅŷŹý¸ß ¡£ËùÒÔ½µµÍÆûÓÍÖÐÁòµÄº¬Á¿ÊǺÜÊÇÖØÒªµÄ ¡£

     EDX 3200S PLUS XÓ«¹â²âÁòÒÇÊǼÌEDX 3200S¸ßЧ²âÁòÒǺóÁ¦ÍƳöµÄÒ»¿î¸ü¸ßЧÖÇÄܵIJâÁòÒÇÆ÷ ¡£

      ¸Ã¿îÒÇÆ÷µÄÖ÷ÒªÁÁµãÔÚÓÚËüÓг¬Ð¡µÄ³äº¤ÑùÆ·Ç»ºÍ³¬½üµÄ²âÊÔ¾àÀ룬¿ÉÒÔ¾«×¼¿ìËٵIJâÊÔ³öÓÍÌåÖÐÁòµÄº¬Á¿£¬Ò²¿ÉÒÔ²âÄÆÖÁÓËÔªËØº¬Á¿£¬ÇҸÿîÒÇÆ÷²Ù×÷¼ò±ã¡¢Îȶ¨ÐԸߡ¢²âÊÔ¹æÄ£¹ã¡¢ÆÊÎöËٶȿ졢¼ì³öÏÞµÍ ¡£

ͼһ¡¢EDX3200S PLUS

Ò»¡¢ÐÔÄÜÓÅÊÆ

1.ÒÇÆ÷ÍâÐÍСÇÉÁ÷³©£¬¼ò½à´ó·½£¬¿ÉÓÃÓÚ³µÔغÍʵÑéÊÒ£¬Ê¹Óñ㵱¼òµ¥
2.³¬Ð¡µÄ³äº¤ÆøÃܱÕÑùÆ·Ç»£¬½ÚÊ¡ÆøÌåÓÃÁ¿£¬¼õÉÙ¼ì²â±¾Ç®
3.³¬½üµÄÑùÆ·²âÊÔ¾àÀ룬Ìá¸ß²âÊÔÑùÆ·µÄ¾«È·¶È
4.ÆÊÎöÑùÆ·Ëٶȿ죬×î¿ì¿É50Ãë»ñÈ¡½á¹û
5.ÿ´ÎÑùÆ·²âÊԸ߶ÈÒ»Ö£¬°ü¹ÜÁ˲âÊÔÊý¾ÝµÄ׼ȷ¶È£¬½ÚÊ¡±êÑù£¬ÇÒÎÞÐèÌØÊâÈ¡Ñù¹¤¾ß
6.ÏÂÕÕʽÉè¼ÆÖÆÖ¹ÑùÆ·»Ó·¢ÎÛȾ¹â¹ÜºÍ̽²âÆ÷îë´°£¬¿É²âÆûÓÍ¡¢²ñÓ͵ÈÇáÖÊÓÍ£¬Ìá¸ß²âÊÔ¾«¶È
7.¸ßÒý·¢Ð§ÂʲരW°ÐX¹â¹Ü£¬´óÃæ»ýSDD̽²âÆ÷£¬Á¼ºÃµÄÉ¢ÈÈÐÔ£¬ÓÐÁ¦µØÈ·±£²âÊԵĸßЧÎȶ¨
8.XÉäÏ߯Á±ÎÉè¼Æ£¬ÈòâÊÔÈËÔ±Äþ¾²¶¨ÐĵÄʹÓà ¡£

¶þ¡¢±ê×¼ÅäÖÃ

³äº¤ÆøÃܱÕÑùÆ·Ç»
SDD̽²âÆ÷
Ðźżì²âµç×Óµç·
Æéá«Ñ¹µçÔ´
¿ª·ÅʽÑùƷƽ̨
ÖÇÄܲâÁòÈí¼þ
X¹â¹Ü
ÅÌËã»ú¼°ÅçÄ«´òÓ¡»ú

Èý¡¢¼¼Êõ²ÎÊý

ÔªËØÆÊÎö¹æÄ££ºNa-U
ÆÊÎö¹æÄ££º3ppm-99.99%
¼ì²âÏÞ£º10ppm£¨³äº¤Æø¿É´ï3ppm£©
¹¦Ð§¹æÄ££º×¨ÓÃʯÓÍÔªËØÆÊÎö
ÆÊÎö¾«¶È£º£¼100ppmÆä¾«¶È¿É¿ØÖÆÔÚ¡À10% 
¡Ý100ppmÆä¾«¶È¿É¿ØÖÆÔÚ¡À8%
ÕÉÁ¿Ê±¼ä£º50-100s
ÕÉÁ¿¹¤¾ß£ºÒºÌå
ÊÂÇéµçѹ£ºAC 110V/220V
ÊÂÇéζȣº10-35¡æ
ÑùÆ·±­ÈÝÁ¿£º¦Õ24mm¡Á22mm
ÒÇÆ÷³ß´ç£º³¤370mm¡Á¿í360mm¡Á¸ß418mm
ÒÇÆ÷ÖØÁ¿£º32kg

A¡¢ÒÇÆ÷¼ì³öÏÞ²âÊÔ
1 È¡´¿ÎïÖÊ(°×ÓÍ)ºÍSº¬Á¿100ppmµÄÖØÓͱêÑù ¡£ 
2 Àι̹Üѹ¡¢¹ÜÁ÷¡¢ÂË¹âÆ¬²ÎÊýºó£¬²â´¿ÎïÖÊ11´Î£¬±êÑù3´Î ¡£ÒÔÏÂÒªÁì½øÐÐÅÌËã¼ì³öÏÞ ¡£ 
µ¥ÊÔÑùÍâ±ê·¨ 
²âÊÔÒªÁìÈçÏ£º
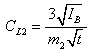
Ñ¡ÔñÒ»¸öÒÑÖªº¬Á¿£¨¦Øi£©µÄ±êÑù£¬²âÊÔÄ³ÔªËØµÄÆÊÎöÏ߯׷åÇ¿¶ÈIP¼°ÆäÅä¾°Ç¿¶ÈIB,Æä¼ì³öÏÞ·½³ÌΪ£º£¬CL2--¼ì³öÏÞ£¨¦Ìg¡¤g-1£©£»m2¡ªÆÊÎöÔªËØµÄÁéÃô¶È¡¾cps/£¨¦Ìg¡¤g-1£©¡¿£¬´Ë´¦£¬tΪ²âÊÔʱ¼ä£¬IPΪÆ×·åÇ¿¶È£¬IBΪÅä¾°Ç¿¶È£¨¿Õ°×±êÑùÔÚÏàͬÌõ¼þ²âÊÔ»ñµÃµÄÇ¿¶È£»ÈçÎÞ¿Õ°×±êÑù£¬IBÓÉÆÊÎöÔªËØµÄÈ«Ãæ»ý¼õ¾»Ãæ»ýµÃ³ö£© ¡£ÅÌËã³öÒÇÆ÷¼ì³öÏÞ3.7ppm

SÔªËØ¼ì³öÏÞ

²âÊÔ´ÎÊý
±¾µ×È«Ãæ»ýÇ¿¶È
¸ßº¬Á¿Ç¿¶È
º¬Á¿/ppm
0
100
1
1.06
4.31
2
0.985
4.23
3
0.99
3.985
4
0.97
5
1.045
6
0.995
7
1.01
8
0.96
9
0.95
10
1.06
11
1.025
ƽ¾ùÖµ
1.004545455
4.175
±ê׼ƫ²î/%
0.03882361
0.169336942
бÂÊ
31.54121864
¼ì³öÏÞ/ppm
3.673631955

 

B¡¢ÒÇÆ÷Îȶ¨ÐÔ
½«Ðè²âÊÔÑùÆ··ÅÈëÒÇÆ÷½øÐвâÊÔ£¬½øÐÐÁªÏµ11´Î²âÊÔÊÓ²ìÒÇÆ÷²âÊÔÎȶ¨ÐÔ ¡£

 

ÑùÆ·Ãû³Æ
S£¨ppm)
3200_132155_Õý³£
679.5368
3200_132156_Õý³£
673.5362
3200_132157_Õý³£
673.2834
3200_132158_Õý³£
679.0959
3200_132159_Õý³£
688.8426
3200_132160_Õý³£
687.9374
3200_132161_Õý³£
685.3338
3200_132162_Õý³£
674.8204
3200_132163_Õý³£
673.687
3200_132164_Õý³£
669.7947
3200_132165_Õý³£
693.4751
max
693.4751
min
669.7947
¼«²î
23.6804
ƽ¾ùÖµ
679.9403
±ê׼ƫ²î
7.809853912
RSD
1.148608769

ÆÊÎöÒÔÉÏÇé¿ö£¬Õë¶Ô¡¶Ê¯ÓͺÍʯÓͲúÆ·Áòº¬Á¿µÄ²â¶¨ÄÜÁ¿É«É¢XÉäÏßÓ«¹â¹âÆ×·¨¡·GB/T17040-2008£¬ÏÖÔÚÒÇÆ÷¿ÉÒÔÂú×ã²âÊÔÐèÇó ¡£

ËÄ¡¢ÆäËü²¿¼þ

01. Íâ¿Ç 
02. ²âÊÔÇ»ÉϸǠ
03. ²âÊÔÇ» 
04. ÑùÆ·±­ 
05. Á÷Á¿µ÷ÀíÐýÅ¥ 
06. ·øÉäָʾµÆ 
07. µçԴָʾµÆ 
08. µçÉÈÕÖ 
09. USB½Ó¿Ú 
10. µçÔ´½Ó¿Ú 
11. µçÔ´¿ª¹Ø 
12. º¤ÆøÊäÈë½Ó¿Ú

Îå¡¢²âÊÔÁ÷³Ì

1¡¢°ì·¨Ò»£º¿ìËÙÈ¡Ñù

È¡Ñù¼òµ¥£¬ÎÞÐèǰ´¦ÀíÀú³Ì

1¡¢È¡Ñù¿ì½ÝÎÞÐèÕÉÁ¿Ìå»ý»òÖØÁ¿
2¡¢ÑùÆ·±­¿ÉÖØ¸´ÀûÓ㬺IJÄÁ¿Ð¡
3¡¢Äþ¾²ÎÞÎÛȾ

2¡¢°ì·¨¶þ£ºÑùÆ··ÅÈë²âÊÔÇø

 

¾«ÇÉÉè¼Æ£¬½ÚÔ¼±¾Ç®

³¬Ð¡ÑùÆ·Ç»Éè¼Æ£¬º¤ÆøÊ¹ÓÃÁ¿¸üÊ¡£¬²âÊÔ¾«¶È¸ü¸ß£»
¶ÀÍ̵ij¬½ü¾àÀëÉè¼Æ£¬È·±£²âÊÔÒÇÆ÷¾ßÓиüºÃµÄ¾«×¼¶ÈÓëÔÙÏÖÐÔ£»
ÌØÓÐÏÂÕÑʽÉè¼Æ£¬Äܾ«È·µÄÕÉÁ¿ÆûÓÍ¡¢²ñÓ͵ÈÇáÖÊÓÍ£»
²âÊÔËٶȿ졢»»Ñù±ãµ±£¬Ã¿¸öÑùÆ·¼ì²â×î¿ìÖ»ÐèÒª50S£»
ÍêÈ«ÎÞËð²âÊÔ

3¡¢°ì·¨Èý£ºÒ»¼ü¿ª²â

¿ìËÙÕÉÁ¿£¬ÎÞÐèÆÚ´ý

Ò»¼ü²Ù×÷£¬±ãµ±¿ìËÙ£»
ÆÊÎö½á¹û¿ìËÙÏÔʾ£¬10S¼´³ö¿ª¶Ë²âÊÔ½á¹û£»
Ìṩ¾­ÑéϵÊý·¨Ð£ÕýģʽÓë»ù±¾²ÎÊý·¨Ð£Õýģʽ£¬°ü¹ÜÆÊÎö½á¹ûµÄ׼ȷ¶È£»
È«³ÌÈí¼þ²Ù¿Ø£¬Ò»¼üÉú´æ²âÊÔ±¨¸æ£»
²Ù×÷Äþ¾²£¬¶àÖØXÉäÏ߯Á±ÎÉè¼Æ ¡£

Áù¡¢Ó¦ÓÃÁìÓò

¸ÃÒÇÆ÷¿É¹ã·ºÓÃÓÚʯÓÍ»¯¹¤¡¢Ô­ÓÍ¿ª²É¡¢ÒºÌåÔªËØÆÊÎöµÈÐÐÒµ£¬Ò²¿É¶Ô·ÛÄ©ÀàÑùÆ·½øÐо«×¼²âÊÔ ¡£ÑùÆ·²âÊÔʵÀý ¡£
¶Ôijδ֪ÓÍÖÊÑùƷʹÓÃEDX3200S plusÒÇÆ÷½øÐвâÊÔ£¬²âÊÔºóʹÓÃÑõ»¯Î¢¿âÂØ·¨½øÐвâÊÔ ¡£½«²âÊÔ½á¹û½øÐбȽÏ ¡£

ͼ¶þ¡¢ÑùÆ·²âÊÔÆ×ͼ 
²âÊÔ½á¹û±È½ÏÈçÏ£º

 

ÒªÁì
3200S plus
Ñõ»¯Î¢¿âÂØ·¨
º¬Á¿£¨ppm£©
87.1364
85.8

 

ͨ¹ý²âÊÔ½á¹û¿ÉÖª£¬µÍº¬Á¿ÑùÆ·Æä²âÊÔÆ×·åÃ÷ÏÔ£¬²âÊÔ¾«¶ÈÁ¼ºÃ£¬ÍêÈ«¿ÉÒÔÓÃÓÚSº¬Á¿½ÏµÍµÄÑùÆ·²âÊÔ ¡£¸ÃÒÇÆ÷¿ÉÂú×ãʯÓÍÖÆÆ·ÐÐÒµÖжԲâÁòÒÇÆ÷µÄ¾«¶ÈÐèÇó ¡£

Ïà¹Ø²úÆ·

    Ç¸ØÆ£¡ÔÝδÕÒµ½Ïà¹ØÊý¾Ý£¡

ÁªÏµÃÀʨ¹ó±ö»á

Á˽â¸ü¶àÏêϸÐÅÏ¢£¬ÇëÖµç
400-7102-888
·ÇÊÂÇéʱ¼äЧÀÍÈÈÏß
139 1323 1381
¸øÎÒÃÇÁôÑÔ
ÔÚÏßÁôÑÔ
΢ÐÅÊÛºóЧÀͶþάÂë

ÍøÕ¾µØÍ¼